Use this forum to discuss data providers like CSI, charting, or other non testing software.
-
sluggo
- Roundtable Knight

- Posts: 2987
- Joined: Fri Jun 11, 2004 2:50 pm
Post
by sluggo »
In the Support area, Tim mentioned that we can include images inline, if they're already on the site:
viewtopic.php?p=39871&highlight=img#39871
So I'm putting a few images here, with plans to include them inline in anoter post or two.
-
Attachments
-

- Figure 1
- equation.png (21.71 KiB) Viewed 9505 times
-

- Figure 2
- rho_example.png (10.97 KiB) Viewed 9505 times
-

- Figure 3
- Equity_Aalone.png (48.13 KiB) Viewed 9507 times
-

- Figure 4
- scatt_all_eight.png (193.04 KiB) Viewed 9507 times
-
sluggo
- Roundtable Knight

- Posts: 2987
- Joined: Fri Jun 11, 2004 2:50 pm
-
sluggo
- Roundtable Knight

- Posts: 2987
- Joined: Fri Jun 11, 2004 2:50 pm
Post
by sluggo »
Three more images
-
Attachments
-

- ECH
- Equity_Halone.png (39.66 KiB) Viewed 9441 times
-

- ECA + ECH
- Equity_AH.png (44.98 KiB) Viewed 9441 times
-

- monthly returns A vs H
- scatAH.png (27.92 KiB) Viewed 9441 times
-
sluggo
- Roundtable Knight

- Posts: 2987
- Joined: Fri Jun 11, 2004 2:50 pm
Post
by sluggo »
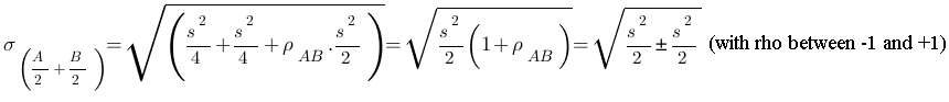
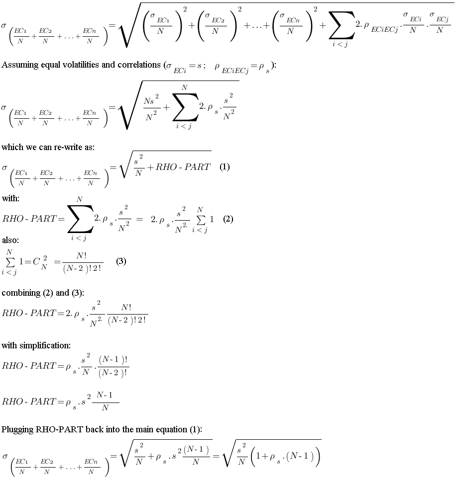
algebra
-
Attachments
-

- average
- rho_complicated.png (46.07 KiB) Viewed 9386 times
-
Jez Liberty
- Roundtable Knight

- Posts: 123
- Joined: Tue Nov 03, 2009 8:49 am
- Location: London
-
Contact:
-
sluggo
- Roundtable Knight

- Posts: 2987
- Joined: Fri Jun 11, 2004 2:50 pm
Post
by sluggo »
dVariance / dAllocation = 0
-
Attachments
-

- opti.png (4.53 KiB) Viewed 9326 times
-
sluggo
- Roundtable Knight

- Posts: 2987
- Joined: Fri Jun 11, 2004 2:50 pm
Post
by sluggo »
Peter Martin figure from 1989
-
Attachments
-

- pm.gif (7.86 KiB) Viewed 9297 times
-
sluggo
- Roundtable Knight

- Posts: 2987
- Joined: Fri Jun 11, 2004 2:50 pm
Post
by sluggo »
-
Attachments
-

- message.png (1.27 KiB) Viewed 9247 times
-

- auxblock.png (2.7 KiB) Viewed 9247 times